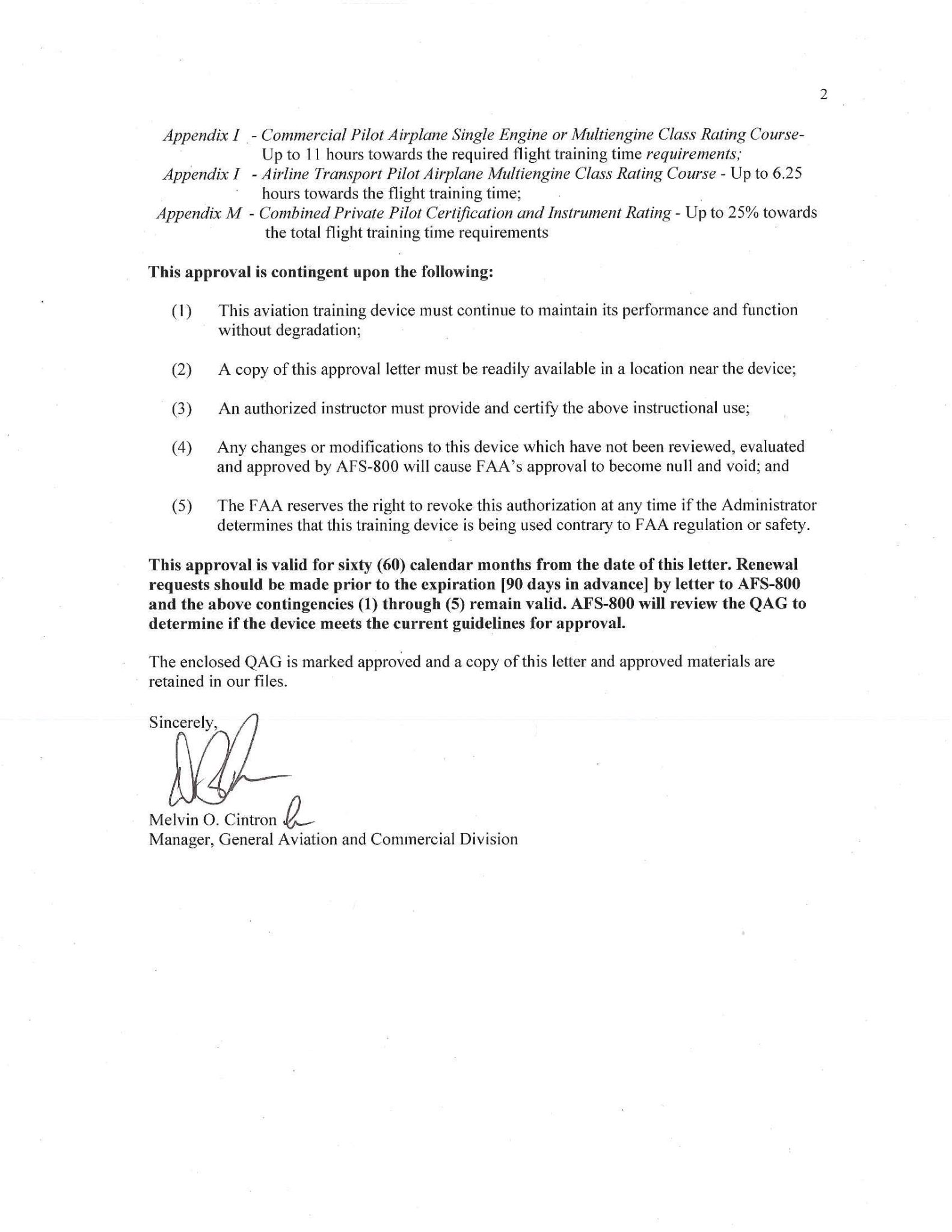
Simulation Training SOQ/LOAs
LOAs
10315-10319 (C172s)
10366 (N455LU)
Frasca AATDs
SOQs
FAA 1396 (N5387LU)
2022-2025
2021
2020
2019
2018
2017
2016
FAA 1396 Combined 2015 12 02
FAA 1396 T 001A
2015
FAA 1397 (N1185LU)
2025-2028
2022-2025
2021
2020
2019
2018
2017
2016
FAA 1397 Combined 2015 12 02
FAA 1397 T 001A